Ropivacaine – its pharmacology, properties, and clinical use within orofacial tissues with a particular focus on dental practice

Authors

  • Marcin Pasternak Jagiellonian University, Medical College, Department of Pharmacology, Division of Clinical Pharmacology

DOI:

https://doi.org/10.21164/pomjlifesci.1045

Keywords:

ropivacaine, local anaesthetics, local anaesthesia, postoperative pain management, dentistry

Abstract

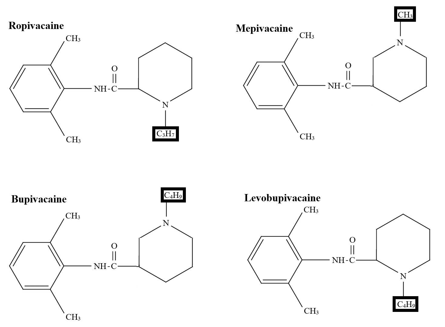
Ropivacaine is a long-acting local anaesthetic from the amino-amide drug class. Synthesized in 1957, it was brought into clinical practice at the end of the 20th century. The drug is used in medicine, especially in the field of general surgery and obstetrics. Unlike structurally akin bupivacaine, which is also sold in cartridges for carpule-type syringes popular in dental practice, no dental formulations of ropivacaine are available to this day.
The paper presents the characteristics of ropivacaine and its properties. Particular emphasis is placed on the possible use of ropivacaine within orofacial tissues. Data from trials in dental settings conducted in the past 2 decades were discussed, with implications important for dentists. The drug may be a suitable option for time-consuming oral procedures, particularly when prolonged postoperative analgesia is desirable.
Ropivacaine, with its efficacy, lower propensity for motor block, and reduced potential for central nervous system (CNS) toxicity and cardiotoxicity compared to other long-acting drugs from the class, is an important alternative in regional anaesthesia and the management of postoperative pain and, as such, should not be overlooked in dental practice.

Downloads

Download data is not yet available.

References

George AM, Liu M. Ropivacaine. In: StatPearls. Treasure Island (FL): StatPearls Publishing; 2023.

Giovannitti JA Jr, Rosenberg MB, Phero JC. Pharmacology of local anesthetics used in oral surgery. Oral Maxillofac Surg Clin North Am 2013;25(3):453-65. doi: 10.1016/j.coms.2013.03.003.

Wiench R, Gilowski Ł, Kędzia A, Kalamarz I, Drzyzga AD, Krzemiński TF. Ropiwakaina – przyszłość w stomatologii? Dent Med Probl 2005;42(1):143-7.

Čižmáriková R, Čižmárik J, Valentová J, Habala L, Markuliak M. Chiral aspects of local anesthetics. Molecules 2020;25(12):2738. doi: 10.3390/molecules25122738.

Kaczmarzyk T, Goszcz A, Grodzińska L, Stypułkowska J, Woroń J, Zaleska M, et al. Współczesna farmakoterapia w schorzeniach chirurgicznych jamy ustnej i tkanek okolicznych. Kraków: Wydawnictwo Uniwersytetu Jagiellońskiego; 2006.

Poojashree B, Kumar MP. Newer local anesthetic drugs in dentistry. Drug Invention Today 2018;10(4):496-502.

Pasternak M, Woroń J. Rola znieczulenia miejscowego w uśmierzaniu bólu śródzabiegowego w praktyce stomatologicznej. Ból 2021;22(1):24-35.

Jadhav V, Jadhav R, Diwanmal BM. Ropivacaine a review of its use in regional anaesthesia, chronic pain management and in patients with cardiac diseases in non cardiac surgeries. IOSR J Pharm Biol Sci 2015;10(1):43-7.

Budharapu A, Sinha R, Uppada UK, Subramanya Kumar AV. Ropivacaine: a new local anaesthetic agent in maxillofacial surgery. Br J Oral Maxillofac Surg 2015;53(5):451-4. doi: 10.1016/j.bjoms.2015.02.021.

Olszanecki R. Środki znieczulające miejscowo. In: Korbut R, editor. Farmakologia. 2nd ed. Warszawa: Wydawnictwo Lekarskie PZWL; 2019. p. 44-54.

Breu A, Rosenmeier K, Kujat R, Angele P, Zink W. The cytotoxicity of bupivacaine, ropivacaine, and mepivacaine on human chondrocytes and cartilage. Anesth Analg 2013;117(2):514-22. doi: 10.1213/ANE.0b013e31829481ed.

Kuthiala G, Chaudhary G. Ropivacaine: A review of its pharmacology and clinical use. Indian J Anaesth 2011;55(2):104-10. doi: 10.4103/0019-5049.79875.

Martinsson T, Oda T, Fernvik E, Roempke K, Dalsgaard CJ, Svensjö E. Ropivacaine inhibits leukocyte rolling, adhesion and CD11b/CD18 expression. J Pharmacol Exp Ther 1997;283(1):59-65.

Aydin ON, Eyigor M, Aydin N. Antimicrobial activity of ropivacaine and other local anaesthetics. Eur J Anaesthesiol 2001;18(10):687-94.

Kaewjiaranai T, Srisatjaluk RL, Sakdajeyont W, Pairuchvej V, Wongsirichat N. The efficiency of topical anesthetics as antimicrobial agents: A review of use in dentistry. J Dent Anesth Pain Med 2018;18(4):223-33.

Ekström G, Gunnarsson UB. Ropivacaine, a new amide-type local anesthetic agent, is metabolized by cytochromes P450 1A and 3A in human liver microsomes. Drug Metab Dispos 1996;24(9):955-61.

Hansen TG. Ropivacaine: a pharmacological review. Expert Rev Neurother 2004;4(5):781-91.

Brković B, Andrić M, Ćalasan D, Milić M, Stepić J, Vučetić M, et al. Efficacy and safety of 1% ropivacaine for postoperative analgesia after lower third molar surgery: a prospective, randomized, double-blinded clinical study. Clin Oral Investig 2017;21(3):779-85.

Reddy KV, Jadhav A, Bhola N, Mishra A, Dakshinkar P. Is 0.75% ropivacaine more efficacious than 2% lignocaine with 1:80,000 epinephrine for IANB in surgical extraction of impacted lower third molar? Oral Maxillofac Surg 2019;23(2):225-31. doi: 10.1007/s10006-019-00779-w.

Ropimol. Molteni – leaflet. https://www.molteni.pl/assets/pdf/Ulotka_Ropimol_5mg_09_2023.pdf (24.02.2024).

Åkerman B, Hellberg IB, Trossvik C. Primary evaluation of the local anaesthetic properties of the amino amide agent ropivacaine (LEA 103). Acta Anaesthesiol Scand 1988;32(7):571-8.

Atanassoff PG, Ocampo CA, Bande MC, Hartmannsgruber MW, Halaszynski TM. Ropivacaine 0.2% and lidocaine 0.5% for intravenous regional anesthesia in outpatient surgery. Anesthesiology 2001;95(3):627-31.

Kaur K, Kaur T, Kapila S, Bhullar RS, Dhawan A, Singh B. Evaluation of anesthetic efficacy of 4% articaine, 0.5% bupivacaine and 0.5% ropivacaine during surgical removal of impacted mandibular third molars: a randomized comparative clinical study. J Maxillofac Oral Surg 2024;23(3):538-44.

Perrin SL, Bull C, Black S. Local anaesthetic drugs. Anaesth Intensive Care Med 2020;21(2):113-7.

Olszanecki R. Leki obwodowego układu nerwowego. In: Olszanecki R, Wołkow P, Jawień J, editors. Farmakologia: mechanizmy, leki, farmakoterapia oparta na faktach. Tom 1. Warszawa: PZWL; 2023. p. 239-51.

Ok SH, Kwon SC, Kang S, Choi MJ, Sohn JT. Mepivacaine-induced intracellular calcium increase appears to be mediated primarily by calcium influx in rat aorta without endothelium. Korean J Anesthesiol 2014;67(6):404-11. doi: 10.4097/kjae.2014.67.6.404.

Deshpande N, Jadhav A, Bhola ND, Gupta M. The comparative evaluation of the anesthetic efficacy of 4% articaine with 1:100,000 adrenaline and 0.75% ropivacaine for inferior alveolar nerve block in the extraction of impacted lower third molar. Cureus 2022;14(9):e29639.

Cederholm I, Evers H, Löfström JB. Skin blood flow after intradermal injection of ropivacaine in various concentrations with and without epinephrine evaluated by laser Doppler flowmetry. Reg Anesth 1992;17(6):322-8.

Tokinaga Y, Ogawa K, Yu J, Kuriyama T, Minonishi T, Hatano Y. Mechanism of the ropivacaine‐induced increase in intracellular Ca2+ concentration in rat aortic smooth muscle. Acta Anaesthesiol Scand 2007;51(9):1155-60.

Cederholm I, Akerman B, Evers H. Local analgesic and vascular effects of intradermal ropivacaine and bupivacaine in various concentrations with and without addition of adrenaline in man. Acta Anaesthesiol Scand 1994;38(4):322-7.

Wiles MD, Nathanson MH. Local anaesthetics and adjuvants – future developments. Anaesthesia 2010;65 Suppl 1:22-37.

Yamashiro M, Hashimoto S, Yasuda A, Sunada K. Epinephrine affects pharmacokinetics of ropivacaine infiltrated into palate. Anesth Prog 2016;63(2):71-9.

Kennedy M, Reader A, Beck M, Weaver J. Anesthetic efficacy of ropivacaine in maxillary anterior infiltration. Oral Surg Oral Med Oral Pathol Oral Radiol Endod 2001;91(4):406-12.

Pasternak M, Woroń J. Iniekcyjne leki znieczulenia miejscowego w zapobieganiu bólu śródzabiegowego w stomatologii dziecięcej – uwagi praktyczne na temat wyboru środków i metod. Możliwe powikłania znieczulenia miejscowego w pedodoncji. Ból 2022;23(4):37-46.

McClure JH. Ropivacaine. Br J Anaesth 1996;76(2):300-7.

Jeske AH. Local Anesthetics. In: Jeske AH, editor. Contemporary dental pharmacology. Cham: Springer; 2019. p. 9-22. doi: 10.1007/978-3-319-99852-7_2.

Tijanic M, Buric N. A randomized anesthethic potency comparison between ropivacaine and bupivacaine on the perioperative regional anesthesia in lower third molar surgery. J Craniomaxillofac Surg 2019;47(10):1652-60. doi: 10.1016/j.jcms.2019.07.019.

Taylor A, McLeod G. Basic pharmacology of local anaesthetics. BJA Educ 2020;20(2):34-41. doi: 10.1016/j.bjae.2019.10.002.

Moffitt DL, De Berker DA, Kennedy CT, Shutt LE. Assessment of ropivacaine as a local anesthetic for skin infiltration in skin surgery. Dermatol Surg 2001;27(5):437-40.

Pasternak M, Woroń J. Zwalczanie bólu i dyskomfortu podczas deponowania roztworu znieczulającego – metody pomocne w stomatologii dziecięcej. Ból 2022;23(2):22-8.

Lee R, Kim YM, Choi EM, Choi YR, Chung MH. Effect of warmed ropivacaine solution on onset and duration of axillary block. Korean J Anesthesiol 2012;62(1):52-6.

Kalath RN, Kulal R, Gopinath S. Comparison of clinical efficacy of ropivacaine and lignocaine with adrenaline for implant surgery anesthesia: a split-mouth randomized controlled clinical trial. J Dent Anesth Pain Med 2021;21(4):337-44. doi: 10.17245/jdapm.2021.21.4.337.

Baart JA. Local Anaesthesia in the Lower Jaw. In: Baart JA, Brand HS, editors. Local anaesthesia in dentistry. Cham: Springer; 2017. p. 88-103. doi: 10.1007/978-3-319-43705-7_6.

Ernberg M, Kopp S. Ropivacaine for dental anesthesia: a dose-finding study. J Oral Maxillofac Surg 2002;60(9):1004-10. doi: 10.1053/joms.2002.34409.

El-Sharrawy E, Yagiela JA. Anesthetic efficacy of different ropivacaine concentrations for inferior alveolar nerve block. Anesth Prog 2006;53(1):3-7. doi: 10.2344/0003-3006(2006)53[3:AEODRC]2.0.CO;2.

Rajpari KN, Andrade NN, Nikalje T. Comparison of anaesthetic efficacy of ropivacaine (0.75% & 0.5%) with 2% lignocaine with adrenaline (1:200000) in surgical extraction of bilateral mandibular 3rd molars using IANB: a prospective, randomized, single blind study. J Oral Biol Craniofac Res 2021;11(2):263-8. doi: 10.1016/j.jobcr.2021.02.005.

Senthilkumar V, Ramesh S. Comparative evaluation of ropivacaine and lidocaine as dental pulp anaesthesia. Bioinformation 2021;17(1):229-39. doi: 10.6026/97320630017229.

Axelsson S, Isacsson G. The efficacy of ropivacaine as a dental local anaesthetic. Swed Dent J 2004;28(2):85-91.

Buric N. The assessment of anesthetic efficacy of ropivacaine in oral surgery. NY State Dent J 2006;72(3):36-9.

Goyal R, Sharma P, Bali R. Comparative analysis of the anesthetic efficacy of 0.5% ropivacaine versus 2% lignocaine hydrochloride with adrenaline (1:80,000) for inferior alveolar nerve block in surgical removal of impacted mandibular third molars. J Maxillofac Oral Surg 2021;20(2):234-9. doi: 10.1007/s12663-020-01428-6.

Nazeer J, Kumari S, Haidry N, Kulkarni P, Aastha, Gautam A, et al. Comparison of efficacy of lignocaine, ropivacaine, and bupivacaine in pain control during extraction of mandibular posterior teeth. Natl J Maxillofac Surg 2021;12(2):238-43. doi: 10.4103/njms.NJMS_14_20.

Shrivastava A, Shrivastava A. Assessment of efficacy of lignocaine, ropivacaine, and bupivacaine in control of pain during extraction of mandibular posterior teeth. Eur J Mol Clin Med 2022;9(7):1775-80.

Ranjan R, Santhosh Kumar SN, Singh M. Comparison of efficacy of 0.75% ropivacaine and 2% lidocaine with 1:200,000 adrenaline in pain control in extraction of mandibular posterior teeth: A double-blind study. Indian J Dent Res 2018;29(5):611-5. doi: 10.4103/ijdr.IJDR_150_17.

Bhargava D, Chakravorty N, Rethish E, Deshpande A. Comparative analysis of the anesthetic efficacy of 0.5 and 0.75% ropivacaine for inferior alveolar nerve block in surgical removal of impacted mandibular third molars. J Maxillofac Oral Surg 2013;13(4):431-4.

Baart JA. Local Anaesthesia in the Upper Jaw. In: Baart JA, Brand HS, editors. Local anaesthesia in dentistry. Cham: Springer; 2017. doi: 10.1007/978-3-319-43705-7_5.

Bansal V, Kumar D, Mowar A, Bansal A. Comparison of ropivacaine 0.75% and lignocaine 2% with 1:200,000 adrenaline in dental extractions: single blind clinical trial. J Maxillofac Oral Surg 2018;17(2):201-6. doi: 10.1007/s12663-016-0902-x.

Krzemiński TF, Gilowski L, Wiench R, Płocica I, Kondzielnik P, Sielańczyk A. Comparison of ropivacaine and articaine with epinephrine for infiltration anaesthesia in dentistry – a randomized study. Int Endod J 2011;44(8):746-51. doi: 10.1111/j.1365-2591.2011.01881.x.

Mishra A, Lalani Z, Kalakonda B, Krishnan P, Pandey R, Reddy K. Comparative evaluation of hemodynamic, vasoconstrictive, and SpO2 variability during different stages of periodontal surgery performed using 0.5% ropivacaine or 2% lignocaine HCl (1:80,000 adrenaline) local anesthesia: A randomized, double-blind, split-mouth pilot study. J Indian Soc Periodontol 2018;22(3):243-8. doi: 10.4103/jisp.jisp_18_18.

Kakade AN, Joshi SS, Naik CS, Mhatre BV, Ansari A. Clinical efficacy of 0.75% ropivacaine vs. 2% lignocaine hydrochloride with adrenaline (1:80,000) in patients undergoing removal of bilateral maxillary third molars: a randomized controlled trial. J Dent Anesth Pain Med 2021;21(5):451-9. doi: 10.17245/jdapm.2021.21.5.451.

Brkovic BMB, Zlatkovic M, Jovanovic D, Stojic D. Maxillary infiltration anaesthesia by ropivacaine for upper third molar surgery. Int J Oral Maxillofac Surg 2010;39(1):36-41. doi: 10.1016/j.ijom.2009.11.009.

Figueroa-Fernández NP, Hernández-Miramontes YA, Alonso-Castro ÁJ, Isiordia-Espinoza MA. A meta-analysis on the efficacy of the ropivacaine infiltration in comparison with other dental anesthetics. Clin Oral Investig 2021;25(12):6779-90. doi: 10.1007/s00784-021-03965-x.

Meechan JG. A comparison of ropivacaine and lidocaine with epinephrine for intraligamentary anesthesia. Oral Surg Oral Med Oral Pathol Oral Radiol Endod 2002;93(4):469-73. doi: 10.1067/moe.2002.121390.

Kim S. Ligamental injection: a physiological explanation of its efficacy. J Endod 1986;12(10):486-91.

Gray RJ, Lomax AM, Rood JP. Periodontal ligament injection: with or without a vasoconstrictor? Br Dent J 1987;162(7):263-5.

Pasternak M, Woroń J. Znieczulenie powierzchniowe w stomatologii – uwagi praktyczne. Ból 2023;24(4):31-41.

Fang P, Zong Z, Lu Y, Han X, Liu X. Effect of topical ropivacaine on the response to endotracheal tube during emergence from general anesthesia: a prospective randomized double-blind controlled study. BMC Anesthesiol 2018;18(1):134. doi: 10.1186/s12871-018-0601-x.

Chambelland A, Devos C, Casagrande F, Chiaverini C. Topical ropivacaine for analgesia of aplasia cutis congenita in newborns with hereditary epidermolysis bullosa. Orphanet J Rare Dis 2020;15(1):338. doi: 10.1186/s13023-020-01605-3.

Gasparini G, Saponaro G, Gasparini D, Foresta E, Azzuni C, Adduci A, et al. The use of ropivacaine in therapeutic treatment of oral aphthosis. Biomed Res Int 2018;2018:1868254. doi: 10.1155/2018/1868254.

Moradkhani MR, Karimi A, Negahdari B. Nanotechnology application to local anaesthesia (LA). Artif Cells Nanomed Biotechnol 2018;46(2):355-60.

Franz-Montan M, Silva AL, Cogo K, Bergamaschi C de C, Volpato MC, Ranali J, et al. Liposome-encapsulated ropivacaine for topical anesthesia of human oral mucosa. Anesth Analg 2007;104(6):1528-31. doi: 10.1213/01.ane.0000262040.19721.26.

Franz-Montan M, de Paula E, Groppo FC, Silva AL, Ranali J, Volpato MC. Liposome-encapsulated ropivacaine for intraoral topical anesthesia. Oral Surg Oral Med Oral Pathol Oral Radiol Endod 2010;110(6):800-4. doi: 10.1016/j.tripleo.2010.07.005.

Franz-Montan M, de Paula E, Groppo FC, Silva AL, Ranali J, Volpato MC. Liposomal delivery system for topical anaesthesia of the palatal mucosa. Br J Oral Maxillofac Surg 2012;50(1):60-4. doi: 10.1016/j.bjoms.2010.10.018.

McArdle BF. Painless palatal anesthesia. J Am Dent Assoc 1997;128(5):647. doi: 10.14219/jada.archive.1997.0265.

Stienstra R. The place of ropivacaine in anesthesia. Acta Anaesthesiol Belg 2003;54(2):141-8.

Espitalier F, Remerand F, Dubost AF, Laffon M, Fusciardi J, Goga D. Mandibular nerve block can improve intraoperative inferior alveolar nerve visualization during sagittal split mandibular osteotomy. J Craniomaxillofac Surg 2011;39(3):164-8. doi: 10.1016/j.jcms.2010.04.015.

Coban YK, Senoglu N, Oksuz H. Effects of preoperative local ropivacaine infiltration on postoperative pain scores in infants and small children undergoing elective cleft palate repair. J Craniofac Surg 2008;19(5):1221-4.

Yu G, Jin S, Chen J, Xie H, Jin S, Chen Y, et al. Comparison of postoperative analgesia in children following ropivacaine and lidocaine surgical field infiltration with epinephrine for cleft palate repair: A double-blinded, randomized controlled trial. J Stomatol Oral Maxillofac Surg 2024;125(5):101762. doi: 10.1016/j.jormas.2024.101762.

Ghezal H, Bouvet S, Kabani S, Ripart J, Cuvillon P. Ropivacaine versus placebo on postoperative analgesia and chronic pain following third molar extraction: A prospective randomized controlled study. J Stomatol Oral Maxillofac Surg 2020;121(2):113-7. doi: 10.1016/j.jormas.2019.07.005.

Oghan F, Harputluoglu U, Guclu E, Kocaman B, Ozturk O. Does topical ropivacaine reduce the post-tonsillectomy morbidity in pediatric patients? Int J Pediatr Otorhinolaryngol 2008;72(3):361-5.

Pasternak M, Woroń J. Postępowanie w bólu poekstrakcyjnym. Ból 2020;21(1):47-52.

Amorim KS, Gercina AC, Ramiro FMS, Medeiros LA, de Araújo JSM, Groppo FC, et al. Can local anesthesia with ropivacaine provide postoperative analgesia in extraction of impacted mandibular third molars? A randomized clinical trial. Oral Surg Oral Med Oral Pathol Oral Radiol 2021;131(5):512-8. doi: 10.1016/j.oooo.2020.09.010.

Crincoli V, Favia G, Llmongelli L, Tempesta A, Brienza N. The effectiveness of ropivacaine and mepivacaine in the postoperative pain after third lower molar surgery. Int J Med Sci 2015;12(11):862-6. doi: 10.7150/ijms.13072.

Hemmi T, Sasahara N, Yusa K, Ishikawa S, Kobayashi T, Iino M. Analgesic effect of a lidocaine-ropivacaine mixture for extraction of impacted mandibular third molars: a randomized controlled trial. Clin Oral Investig 2023;27(10):5969-75. doi: 10.1007/s00784-023-05210-z.

Araya EI, Claudino RF, Piovesan EJ, Chichorro JG. Trigeminal neuralgia: basic and clinical aspects. Curr Neuropharmacol 2020;18(2):109-19. doi: 10.2174/1570159X17666191010094350.

Tisné-Versailles S, Fénélon M, Marteau JM, Catros S, Fricain JC. Injection of ropivacaine combined with pregabalin in a patient with post-traumatic trigeminal neuropathic pain. J Oral Med Oral Surg 2018;24(4):178-81.

Lima MH, Campos MJ, Valentim A, Paulo L, Rego S, Semedo E. Intranasal self-administration of local anesthetic (ropivacaine) for sphenopalatine ganglion block, for treatment of second trigeminal branch neuralgia secondary to maxillary sinus curettage: A case report. Rev Esp Anestesiol Reanim (Engl Ed) 2019;66(8):447-50. doi: 10.1016/j.redar.2019.02.007.

Rana MH, Khan AAG, Khalid I, Ishfaq M, Javali MA, Baig FAH, et al. Therapeutic approach for trigeminal neuralgia: a systematic review. Biomedicines 2023;11(10):2606. doi: 10.3390/biomedicines11102606.

Simpson D, Curran MP, Oldfield V, Keating GM. Ropivacaine: a review of its use in regional anaesthesia and acute pain management. Drugs 2005;65(18):2675-717. doi: 10.2165/00003495-200565180-00013.

Calenda E, Baste JM, Hajjej R, Danielou E, Peillon C. Toxic plasma concentration of ropivacaine after a paravertebral block in a patient suffering from severe hypoalbuminemia. J Clin Anesth 2014;26(2):149-51. doi: 10.1016/j.jclinane.2013.11.008.

Corcoran W, Butterworth J, Weller RS, Beck JC, Gerancher JC, Houle TT, et al. Local anesthetic-induced cardiac toxicity: a survey of contemporary practice strategies among academic anesthesiology departments. Anesth Analg 2006;103(5):1322-6. doi: 10.1213/01.ane.0000242515.03653.bb.

Downloads

Published

2025-03-27

Most read articles by the same author(s)